[ Новые сообщения · Участники · Правила форума · Поиск · RSS ]
 
Работай из дома! 18+

ГДЗ по Математике. 6 класс
KADETДата: Среда, 24.12.2014, 13:54 | Сообщение # 211
Генерал-майор
Группа: Проверенные
Сообщений: 337
Награды: 0
Репутация: 0
Статус: Offline


 
Работай из дома! 18+
 
 




Задача № 1046

Ответ на задание



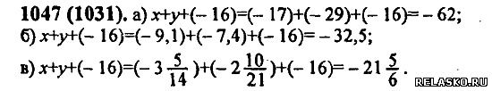
Задача № 1047

Ответы на задание



Задача № 1048

Ответ на задачу



Задача № 1049

Ответ на задание и решение



Задача № 1050

Ответ на задачку

Фото: 6068387.jpg (15.0 Kb) · 5183255.jpg (32.6 Kb) · 5901062.jpg (25.2 Kb) · 8274428.jpg (19.0 Kb) · 2920766.jpg (16.4 Kb)
 
 
KADETДата: Среда, 24.12.2014, 13:56 | Сообщение # 212
Генерал-майор
Группа: Проверенные
Сообщений: 337
Награды: 0
Репутация: 0
Статус: Offline


 
Работай из дома! 18+
 
 


Задача № 1051

Ответ на задание



Задача № 1052

Ответы на задание



Задача № 1053


Ответ на задачу



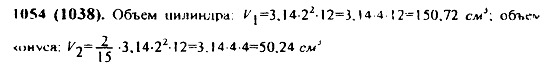
Задача № 1054

Объем цилиндра равен произведению площади одного его основания и высоты. Объем конуса в 3 раза меньше объема цилиндра с таким же основанием и высотой. Вычислите объем цилиндра и объем конуса у которых высоты по 12 см и радиусы оснований по 2 см?

Ответ на задание и решение



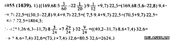
Задача № 1055

Ответ на задачку

Фото: 4652319.jpg (17.0 Kb) · 9675623.jpg (16.2 Kb) · 7288843.jpg (17.6 Kb) · 1794224.jpg (20.1 Kb) · 6464268.jpg (37.8 Kb)
 
 
KADETДата: Среда, 24.12.2014, 13:59 | Сообщение # 213
Генерал-майор
Группа: Проверенные
Сообщений: 337
Награды: 0
Репутация: 0
Статус: Offline


 
Работай из дома! 18+
 
 


Задача № 1056

Ответ на задание



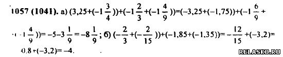
Задача № 1057

Ответы на задание



Задача № 1058

Сплавили кусок меди, объём которого 15 см3, и кусок цинка, объём которого 10 см3. Какова масса 1 см3 сплава, если масса 1 см3 меди 8,9г, а масса 1 см3 цинка 7,1г? Результат округлите до десятых долей грамма.

Ответ на задачу



Задача № 1059

Ответ на задание и решение



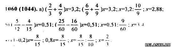
Задача № 1060

Ответ на задачку

Фото: 0860527.jpg (42.3 Kb) · 0896801.jpg (28.3 Kb) · 6877074.jpg (18.1 Kb) · 1443548.jpg (15.3 Kb) · 2110877.jpg (34.3 Kb)
 
 
KADETДата: Среда, 24.12.2014, 14:02 | Сообщение # 214
Генерал-майор
Группа: Проверенные
Сообщений: 337
Награды: 0
Репутация: 0
Статус: Offline


 
Работай из дома! 18+
 
 


Задача № 1061

Число 6 изменили на -10. С какой стороны от начала отсчета расположено получившееся число? На каком расстоянии от начала отсчета оно находится? Чему равна сумма 6 и —10?

Ответ на задание



Задача № 1062

Число 10 изменили на -6. С какой стороны от начала отсчета расположено получившееся число? На каком расстоянии от начала отсчета оно находится? Чему равна сумма 10 и -6?

Ответы на задание



Задача № 1063

Число -10 изменили на 3. С какой стороны от начала отсчета расположено получившееся число? На каком расстоянии от начала отсчета оно находится? Чему равна сумма —10 и 3?

Ответ на задачу



Задача № 1064

Число -10 изменили на 15. С какой стороны от начала отсчета расположено получившееся число? На каком расстоянии от начала отсчета оно находится? Чему равна сумма -10 и 15?

Ответ на задание и решение



Задача № 1065

В первую половину дня температура изменилась на - 4 °С, а во вторую - на + 12 °С. На сколько градусов изменилась температура в течение дня?

Ответ на задачку

Фото: 0891687.jpg (15.0 Kb) · 4038050.jpg (15.2 Kb) · 5195766.jpg (17.5 Kb) · 0410353.jpg (16.3 Kb) · 3697887.jpg (15.7 Kb)
 
 
KADETДата: Среда, 24.12.2014, 14:10 | Сообщение # 215
Генерал-майор
Группа: Проверенные
Сообщений: 337
Награды: 0
Репутация: 0
Статус: Offline


 
Работай из дома! 18+
 
 


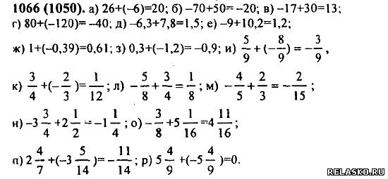
Задача № 1066

Выполните сложение:

Ответ на задание



Задача № 1067

Прибавьте:

а) к сумме —6 и —12 число 20;
б) к числу 2,6 сумму —1,8 и 5,2;
в) к сумме —10 и —1,3 сумму 5 и 8,7;
г) к сумме 11 и —6,5 сумму —3,2 и —6.

Ответы на задание



Задача № 1068

Какое из чисел 8; 7,1; -7,1; -7; -0,5 является корнем уравнения — 6 + х = -13,1?

Ответ на задачу



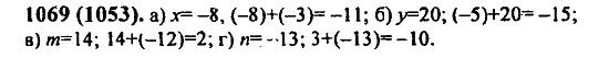
Задача № 1069

Угадайте корень уравнения и выполните проверку:

а) х + ( —3)= —11;
в) m + ( —12) = 2;
б) — 5 + y=15;
г) 3 + n = —10.

Ответ на задание и решение



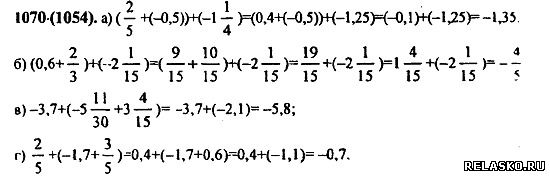
Задача № 1070

Найдите значение выражения:

Ответ на задачку

Фото: 0493432.jpg (54.7 Kb) · 8686552.jpg (25.4 Kb) · 1671833.jpg (29.4 Kb) · 2637479.jpg (22.0 Kb) · 4876484.jpg (40.2 Kb)
 
 
KADETДата: Среда, 24.12.2014, 14:14 | Сообщение # 216
Генерал-майор
Группа: Проверенные
Сообщений: 337
Награды: 0
Репутация: 0
Статус: Offline


 
Работай из дома! 18+
 
 


Задача № 1071

Выполните действия с помощью микрокалькулятора:

а) — 3,2579 + ( —12,308);
г) -3,8564+ (-0,8397) +7,84;
б) 7,8547+ ( — 9,239);
д) -0,083 + (-6,378) + 3,9834;
в) —0,00154 + 0,0837;
е) —0,0085+ 0,00354+ ( — 0,00921).

Ответ на задание



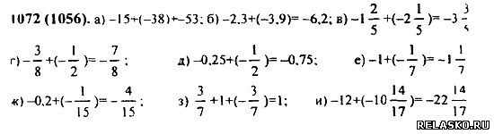
Задача № 1072

Найдите значение суммы:

Ответы на задание



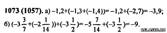
Задача № 1073

Найдите значение выражения:

Ответ на задачу



Задача № 1074

Сколько целых чисел расположено между числами:

а) 0 и 24; б) —12 и —3; в) —20 и 7?

Ответ на задание и решение



Задача № 1075

Представьте число -10 в виде суммы двух отрицательных слагаемых так, чтобы:

а) оба слагаемых были целыми числами;
б) оба слагаемых были десятичными дробями;
в) одно из слагаемых было правильной обыкновенной дробью.

Ответ на задачку

Фото: 3503831.jpg (16.3 Kb) · 9099246.jpg (32.5 Kb) · 7335515.jpg (28.2 Kb) · 3232741.jpg (21.7 Kb) · 1193129.jpg (16.2 Kb)
 
 
KADETДата: Среда, 24.12.2014, 14:17 | Сообщение # 217
Генерал-майор
Группа: Проверенные
Сообщений: 337
Награды: 0
Репутация: 0
Статус: Offline


 
Работай из дома! 18+
 
 


Задача № 1076

Каково расстояние (в единичных отрезках) между точками координатной прямой с координатами:

Ответ на задание



Задача № 1077

Радиусы географических параллелей земной поверхности, на которых расположены города Афины и Москва, соответственно равны 5040 км и 3580 км (рис. 87). На сколько параллель Москвы короче параллели Афин?

Ответы на задание



Задача № 1078

Составьте уравнение для решения задачи: «Поле площадью 2,4 га разделили на два участка. Найдите площадь каждого участка, если известно, что один из участков: а) на 0,8 га больше другого; б) на 0,2 га меньше другого;

в) в 3 раза больше другого;
г) в 1,5 раза меньше другого;
д) составляет 2/3 другого;
е) составляет 0,2 другого;
ж) составляет 60% другого;
з) составляет 140% другого».

Ответ на задачу



Задача № 1079

Решите задачу:

1) В первый день путешественники проехали 240 км, во второй день 140 км, в третий день они проехали в 3 раза больше, чем во второй, а в четвертый день они отдыхали. Сколько километров они проехали в пятый день, если за 5 дней они проезжали в среднем по 230 км в день?

2)Фермер с двумя сыновьями собранные яблоки поместили в 4 контейнера, в среднем по 135 кг в каждый. Фермер собрал 280 кг яблок, а младший сын - в 4 раза меньше. Сколько кг яблок собрал старший сын?

2) Заработок отца в месяц равен 280 р. Стипендия дочери в 4 раза меньше. Сколько зарабатывает в месяц мать, если в семье 4 человека, младший сын — школьник и на каждого приходится в среднем 135 р.?

Ответ на задание и решение



Задача № 1080

Выполните действия:

1) (2,35 + 4,65)• 5,3:(40—2,9);
2) (7,63—5,13)• 0,4:(3,17 + 6,83).

Ответ на задачку

Фото: 5253907.jpg (19.2 Kb) · 3178921.jpg (25.9 Kb) · 4092630.jpg (133.7 Kb) · 7675963.jpg (51.0 Kb) · 5469053.jpg (26.9 Kb)
 
 
KADETДата: Среда, 24.12.2014, 14:21 | Сообщение # 218
Генерал-майор
Группа: Проверенные
Сообщений: 337
Награды: 0
Репутация: 0
Статус: Offline


 
Работай из дома! 18+
 
 


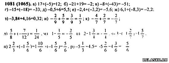
Задача № 1081

Ответ на задание



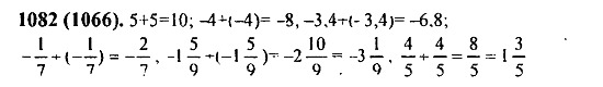
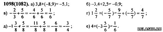
Задача № 1082

Представьте в виде суммы двух равных слагаемых каждое из чисел:

Ответы на задание



Задача № 1083

Найдите значение а + b, если:

а) а= —1,6, b = 3,2; б) а=— 2,6, b = 1,9; в)

Ответ на задачу



Задача № 1084

На одном этаже жилого дома было 8 квартир. 2 квартиры имели жилую площадь по 22,8 м2, 3 квартиры — по 16,2 м2, 2 квартиры — по 34 м2. Какую жилую площадь имела восьмая квартира, если на этом этаже в среднем на каждую квартиру приходилось по 24,7 м2 жилой площади?

Ответ на задание и решение



Задача № 1085

В составе товарного поезда было 42 вагона. Крытых вагонов было в 1,2 раза больше, чем платформ, а число цистерн составляло 3/5 числа платформ. Сколько вагонов каждого вида было в составе поезда?

Ответ на задачку

Фото: 7477070.jpg (44.3 Kb) · 5150430.jpg (23.1 Kb) · 0578654.jpg (15.9 Kb) · 2976151.jpg (23.5 Kb) · 8003488.jpg (35.6 Kb)
 
 
KADETДата: Среда, 24.12.2014, 14:25 | Сообщение # 219
Генерал-майор
Группа: Проверенные
Сообщений: 337
Награды: 0
Репутация: 0
Статус: Offline


 
Работай из дома! 18+
 
 


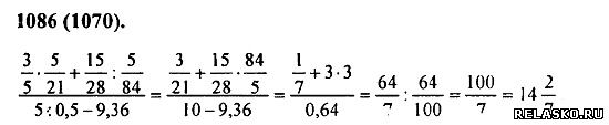
Задача № 1086

Найдите значение выражения

Ответ на задание



Задача № 1087

За день температура воздуха изменилась на —12 °С и к вечеру стала равна — 8 °С. Какой была температура утром?

Ответы на задание



Задача № 1088

Температура воздуха утром была 5 °С, а к вечеру она стала равной — 2 °С. На сколько градусов изменилась температура воздуха за день?

Ответ на задачу



Задача № 1089

Вчера термометр показывал х °С, сегодня температура понизилась на 12 °С. Какую температуру показывает термометр сегодня, если х=25; 12; 6; 0? Решите задачу двумя способами: сложением и вычитанием.

Ответ на задание и решение



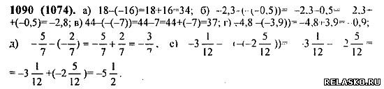
Задача № 1090

Проверьте равенство а - ( - b) = а+ b, если:

а) а =18, b = 16;
г) а= - 4,8, b = 3,9;
б) а= -2,3, b= -0,5;
в) а = 44, b=-7;

Ответ на задачку

Фото: 7933855.jpg (25.7 Kb) · 2510746.jpg (16.5 Kb) · 0687047.jpg (15.5 Kb) · 2915140.jpg (26.4 Kb) · 7689667.jpg (32.8 Kb)
 
 
KADETДата: Среда, 24.12.2014, 14:40 | Сообщение # 220
Генерал-майор
Группа: Проверенные
Сообщений: 337
Награды: 0
Репутация: 0
Статус: Offline


 
Работай из дома! 18+
 
 


Задача № 1091

Выполните вычитание:

Ответ на задание



Задача № 1092

Решите уравнение и выполните проверку:

Ответы на задание



Задача № 1093

Представьте в виде суммы разность:

а) — 28 —( — 32);
в) 50-(-24);
д) -30 —р;
б) —46 — 30;
г) х —80;
е) 6 —(—а).

Ответ на задачу



Задача № 1094

Назовите каждое слагаемое в сумме:

а) — 8 + х;
в) — m — 25;
д) — n + 9 — k;
б) z — 6;
г) 10 — a + y
е) —а — b — с.

Ответ на задание и решение



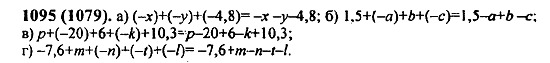
Задача № 1095

Составьте сумму из следующих слагаемых:

а) -x; -у; -4,8;
в) р; -20; 6; -к; 10,3;
б) 1,5; —а; b; — с;
г) —7,6; m; — n; — t; —I.

Ответ на задачку

Фото: 8420913.jpg (68.2 Kb) · 9534380.jpg (57.6 Kb) · 9468807.jpg (21.5 Kb) · 4612995.jpg (19.2 Kb) · 9800027.jpg (22.8 Kb)
 
 
KADETДата: Среда, 24.12.2014, 14:42 | Сообщение # 221
Генерал-майор
Группа: Проверенные
Сообщений: 337
Награды: 0
Репутация: 0
Статус: Offline


 
Работай из дома! 18+
 
 


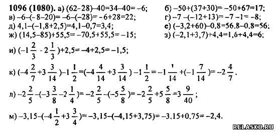
Задача № 1096

Найдите значение выражения:

Ответ на задание



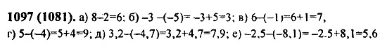
Задача № 1097

Найдите расстояние между точками А (a) и В (b), если:

а) а = 2, b = 8;
в) a= — 1, b=6;
д) а = 3,2, b=— 4,7;
б) a=—3, b= —5;
г) а = 5, b=—4;
е) а=—8,1, b=—2,5.

Ответы на задание



Задача № 1098

Выполните сложение:

Ответ на задачу



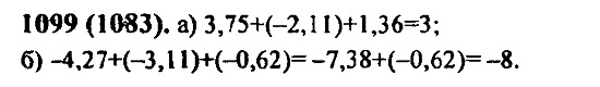
Задача № 1099

Найдите значение выражения:

а) 3,75 + ( —2,11)+1,36;
б) -4,27 + (-3,11)+(-0,62).

Ответ на задание и решение



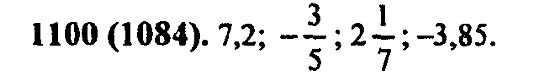
Задача № 1100

Найдите число, противоположное ; 3,85.

Ответ на задачку

Фото: 8834894.jpg (62.9 Kb) · 0431857.jpg (22.2 Kb) · 9651711.jpg (27.6 Kb) · 6013333.jpg (25.6 Kb) · 9487709.jpg (19.1 Kb)
 
 
KADETДата: Среда, 24.12.2014, 14:58 | Сообщение # 222
Генерал-майор
Группа: Проверенные
Сообщений: 337
Награды: 0
Репутация: 0
Статус: Offline


 
Работай из дома! 18+
 
 


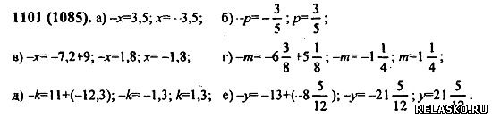
Задача № 1101

Решите уравнение:

Ответ на задание



Задача № 1102

Между какими соседними целыми числами расположено число:

Ответы на задание



Задача № 1103

Запишите все целые числа, модули которых:

а) меньше 4; б) больше 4 и меньше 10.

Ответ на задачу



Задача № 1104

Может ли сумма двух чисел быть меньше:

а) одного из слагаемых; б) каждого из слагаемых?

Приведите примеры.

Ответ на задание и решение



Задача № 1105

Высота конуса 24 см, а площадь основания 15 см2. Какой высоты должен быть цилиндр с такой же площадью основания, чтобы его объем был равен объему конуса (рис. 88)? Нет ли в задаче лишних данных?

Ответ на задачку

Фото: 7766724.jpg (30.4 Kb) · 9216109.jpg (19.4 Kb) · 7813314.jpg (14.3 Kb) · 6768510.jpg (20.9 Kb) · 8544374.jpg (45.5 Kb)
 
 
KADETДата: Среда, 24.12.2014, 15:03 | Сообщение # 223
Генерал-майор
Группа: Проверенные
Сообщений: 337
Награды: 0
Репутация: 0
Статус: Offline


 
Работай из дома! 18+
 
 


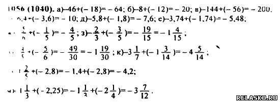
Задача № 1106

На пришкольном участке было собрано 360 кг овощей. Картофеля было собрано в 5 раз больше, чем свеклы, а капусты — на 80 кг больше, чем свеклы. Сколько килограммов каждой культуры было собрано?

Ответ на задание



Задача № 1107

Решите задачу:

1) В трех ящиках 21 кг гвоздей. В первом ящике в 1 1/5 раза больше гвоздей, чем во втором. Масса гвоздей третьего ящика составляет 2/7 массы гвоздей второго ящика. Сколько килограммов гвоздей было в каждом ящике?

2) В овощеводческом совхозе помидоры, огурцы и морковь занимали 560 га. Посевы моркови составляли 1/7 площади, занятой под огурцами, а под огурцами занято 7/8 площади, отведенной под помидоры. Как велика площадь, занятая в отдельности помидорами, огурцами и морковью?

Ответы на задание



Задача № 1108

Выполните действия:

1) 40,1 - 4,06• (29,58:3,48) + 8,112:0,78;
2) 50,2 —3,04• (45,22:4,76)+ 9,202:0,86.

Ответ на задачу



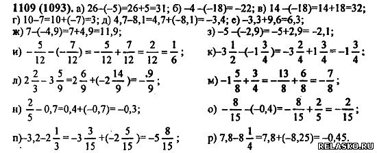
Задача № 1109

Выполните действие:

Ответ на задание и решение



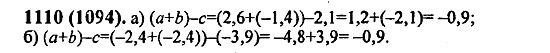
Задача № 1110

Найдите значение выражения (а+b) — с, если:

а) а = 2,6, b= —1,4, с = 2,1;
б) а=b=—2,4, с=—3,9.

Ответ на задачку

Фото: 7901326.jpg (35.1 Kb) · 6189937.jpg (68.6 Kb) · 0057426.jpg (27.9 Kb) · 7248423.jpg (62.2 Kb) · 6461589.jpg (21.1 Kb)
 
 
KADETДата: Среда, 24.12.2014, 15:05 | Сообщение # 224
Генерал-майор
Группа: Проверенные
Сообщений: 337
Награды: 0
Репутация: 0
Статус: Offline


 
Работай из дома! 18+
 
 


Задача № 1111

Отметьте на координатной прямой точки А (— 4) и В (9). Найдите расстояние между точками А и В в единичных отрезках.

Ответ на задание



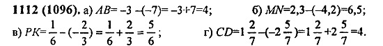
Задача № 1112

Найдите расстояние в единичных отрезках между точками:

Ответы на задание



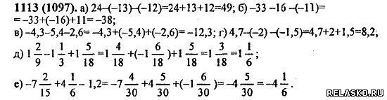
Задача № 1113

Найдите значение выражения:

Ответ на задачу



Задача № 1114

Заполните пустые места таблицы:

Ответ на задание и решение



Задача № 1115

Для учащихся было куплено 70 билетов в кукольный театр. В партер было куплено билетов в 1,5 раза больше, чем на балкон и бельэтаж вместе. Число билетов на балкон составило 0,4 от числа билетов на бельэтаж. Сколько билетов каждого вида было куплено?

Ответ на задачку

Фото: 7325269.jpg (18.3 Kb) · 4672864.jpg (24.5 Kb) · 0879172.jpg (40.6 Kb) · 6676132.jpg (45.1 Kb) · 0439726.jpg (44.8 Kb)
 
 
KADETДата: Среда, 24.12.2014, 15:08 | Сообщение # 225
Генерал-майор
Группа: Проверенные
Сообщений: 337
Награды: 0
Репутация: 0
Статус: Offline


 
Работай из дома! 18+
 
 


Задача № 1116

В альбоме 1105 марок, число иностранных марок составило 30% от числа советских марок. Сколько иностранных и сколько советских марок было в альбоме?

Ответ на задание



Задача № 1117

В доме 300 квартир. Однокомнатные квартиры составляют 28% всех квартир дома, а остальные квартиры — двухкомнатные и трехкомнатные, причем двухкомнатных квартир в 1,7 раза больше, чем трехкомнатных. Сколько квартир каждого вида в доме?

Ответы на задание



Задача № 1118

Уровень воды в реке изменяется каждые сутки на а дм. Как изменится уровень воды в реке за 3 суток, если а = 4; —3?

Ответ на задачу



Задача № 1119

При увеличении температуры воздуха на 1 °С столбик ртути в термометре поднимается на 3 мм. На сколько изменится высота столбика ртути, если температура воздуха изменится: а) на 15 °С; б) на — 12°С?

Ответ на задание и решение



Задача № 1120

Турист движется по шоссе со скоростью v км/ч. Сейчас он находится в точке 0 (рис. 89). Бели он движется в положительном направлении, то его скорость считают положительной, а в отрицательном направлении — отрицательной. Значение t= -4 означает «4 ч тому назад». Где будет находиться турист через t ч? Решите задачу при следующих значениях букв:

Ответ на задачку




Продолжение решебника по Математике ...
Фото: 4989250.jpg (34.2 Kb) · 5739768.jpg (45.3 Kb) · 7705338.jpg (24.1 Kb) · 9326685.jpg (22.8 Kb) · 6108052.jpg (46.9 Kb)


 
 
Поиск:

Работай из дома! 18+
 
 
 
 
 
 

 
Последние темы на форуме:
 
  • Новогодние праздники 2021-2022 официальные выходные
  • Показатели давления и сердцебиения у женщины 57 лет
  • Гороскоп на декабрь 2021 Женщина Телец
  • Гороскоп на январь 2022 от Павла Глоба
  • Гороскоп на декабрь 2021 от Павла Глоба
  • Гороскоп на ноябрь 2021 от Павла Глоба
  • Стенограмма судьбы - Содержание серий, актеры и роли сериала
  • Мосгаз. Западня - Содержание серий, актеры и роли 2021
  • Тобол - Содержание серий, актеры и роли сериала. 2021
  • Гороскоп для Тигра на сегодня от Павла Глоба
  • Утраченные воспоминания - Содержание серий, актеры и роли
  • Чёрно-белая любовь - Содержание серий, актеры и роли сериала
  • Забытая женщина - Содержание серий, актеры и роли сериала
  • Тайна спящей дамы - Содержание серий, актеры и роли сериала
  • Сериал Часы с кукушкой - Содержание серий, актеры и роли
  •  
     

     
    Обращаем ваше внимание на то, что данный интернет-сайт www.kinolog.do.am носит исключительно информационный характер и ни при каких условиях не является публичной офертой, определяемой положениями Статьи 437 (2) Гражданского кодекса РФ. Цена и наличие товара может отличаться от действительной. Пожалуйста, уточняйте цены и наличие товара у наших менеджеров.
    Администрация сайта не несет ответственности за действия и содержание размещаемой информации пользователей: комментарии, материалы, сообщения и темы на форуме, публикации, объявления и т.д.
    Правообладателям | Реклама | Учебники | Политика
    Отопление, водоснабжение, газоснабжение, канализация © 2003 - 2021
    Рейтинг@Mail.ru Рейтинг арматурных сайтов. ARMTORG.RU Яндекс.Метрика