[ Новые сообщения · Участники · Правила форума · Поиск · RSS ]
 
Работай из дома! 18+

ГДЗ по Математике. 6 класс
KADETДата: Среда, 24.12.2014, 15:12 | Сообщение # 226
Генерал-майор
Группа: Проверенные
Сообщений: 337
Награды: 0
Репутация: 0
Статус: Offline


 
Работай из дома! 18+
 
 




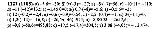
Задача № 1121

Выполните умножение:

а) -5•6; ж) 0,7•( — 8);
н) 1,2•(-14);
б) 9•( —3); з) -0,5•6;
о) -20,5•(-46);
в) — 8•(— 7); и) 12•( —0,2);
п) —8,8•302;
г) -10•11; к) -0,6•(-0,9);
р) -9,8•(-50,6);
д) 11•( 12); л) -2,5•0,4;
с) -17,5•(-17,4);
е) -1,45•0; м) 0•(-1,1);
т) 3,08•(-4,05).

Ответ на задание



Задача № 1122

Найдите значение выражения — 42y, если у = 0; 1; -1; 3; 5; -30.

Произведение, в которое входят отрицательные числа, читают так:

2,4 • (— 0,5) — произведение двух целых четырех десятых и минус нуля целых пяти десятых
— две целых четыре десятых умножить на минус нуль целых пять десятых -20у — минус двадцать игрек
— произведение минус двадцати и игрек

Ответы на задание



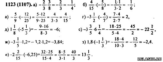
Задача № 1123

Найдите значение произведения:

Ответ на задачу



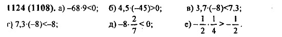
Задача № 1124

Поставьте вместо * знак < или > так, чтобы получилось верное равенство:

Ответ на задание и решение



Задача № 1125

Выполните умножение и сделайте вывод: а) 1 •( —3,9); б) (—1)•7,4; в) —65•( —1); г) -1•7,4.

Ответ на задачку

Фото: 7053962.jpg (40.6 Kb) · 4234427.jpg (26.9 Kb) · 7712361.jpg (47.0 Kb) · 8591027.jpg (20.0 Kb) · 7119204.jpg (26.0 Kb)
 
 
KADETДата: Среда, 24.12.2014, 15:15 | Сообщение # 227
Генерал-майор
Группа: Проверенные
Сообщений: 337
Награды: 0
Репутация: 0
Статус: Offline


 
Работай из дома! 18+
 
 


Задача № 1126

Запишите в виде произведения сумму:

а) x+x+x+x+x+x
в) — 2у — 2у — 2у;
б) —а —а —а —а;
г) 5х + 5х + 5х + 5х + 5х.

Ответ на задание



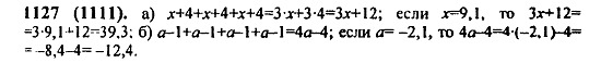
Задача № 1127

Найдите значение выражения:

а) х + 4 + x + 4 + х + 4, если х = 9,1;
б) a — 1 +а — 1 + а — 1 + а — 1, если а =—2,1.

Ответы на задание



Задача № 1128

Догадайтесь, чему равен корень уравнения, и выполните проверку:

а) —8•x = 72; б) — 4•x=— 40; в) 6•у=—54; г) -6•y = 66.

Ответ на задачу



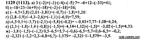
Задача № 1129

Найдите значение выражения:

а) 3 • (— 2)+ (— 3) • (— 4) — (— 5) • 7;
б) (-18 + 23-16-1+9)•(-18);
в) ( — 4,5 + 3,8)•(2,01 -3,81);
г) (2,8-3,9)•(-4,3-2,6);
д) — 4,5 • 0,1 + (— 3,7) • (— 2,1) — (— 5,4) • (— 0,2);
е) (2,3• (-1,8) -1,4 • (- 0,8)) • (-1,5);
ж) — 3,8 • (—1,5) — (—1,2) • 0,5 — 6,5;
з) - 2,321 • (- 3,2 + 2,3 - 4,8 + 6,7)-1,579.

Ответ на задание и решение



Задача № 1130

Выполните действия:

Ответ на задачку

Фото: 2676726.jpg (15.9 Kb) · 4780857.jpg (23.2 Kb) · 6956840.jpg (20.5 Kb) · 1254179.jpg (55.8 Kb) · 4930509.jpg (63.9 Kb)
 
 
KADETДата: Среда, 24.12.2014, 15:19 | Сообщение # 228
Генерал-майор
Группа: Проверенные
Сообщений: 337
Награды: 0
Репутация: 0
Статус: Offline


 
Работай из дома! 18+
 
 


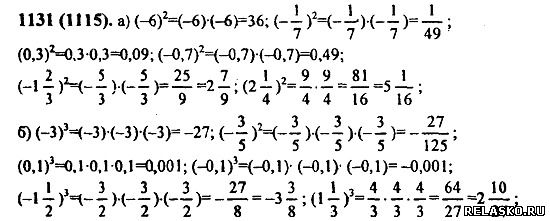
Задача № 1131

Найдите значение:

Ответ на задание



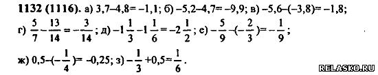
Задача № 1132

Выполните действие:

Ответы на задание



Задача № 1133

Сравните:

а) |-3,5 + 2,9| и |-3,5| + |2,9|;
б) |-8,7-0,7| и |-8,7| + |-0,7|.

Ответ на задачу



Задача № 1134

Вычислите устно:

Ответ на задание и решение



Задача № 1135

Представьте число -12 в виде разности:

а) двух положительных чисел; б) двух отрицательных чисел; в) отрицательного и положительного чисел.

Ответ на задачку

Фото: 4962917.jpg (57.9 Kb) · 0236882.jpg (28.2 Kb) · 8641001.jpg (26.8 Kb) · 0511643.jpg (15.8 Kb) · 5451592.jpg (16.1 Kb)
 
 
KADETДата: Среда, 24.12.2014, 15:22 | Сообщение # 229
Генерал-майор
Группа: Проверенные
Сообщений: 337
Награды: 0
Репутация: 0
Статус: Offline


 
Работай из дома! 18+
 
 


Задача № 1136

Может ли быть верным равенство а-b = b - а? Приведите примеры. Найдите условие, при котором данное равенство верно.

Ответ на задание



Задача № 1137

Может ли разность двух чисел быть больше их суммы?

Ответы на задание



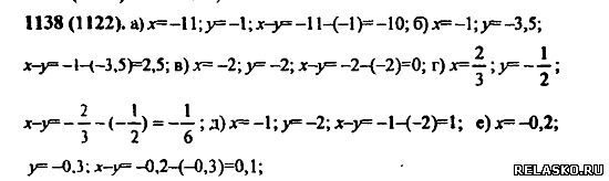
Задача № 1138

Подберите такие отрицательные значения х и уу чтобы значение выражения х - у было равно:

Ответ на задачу



Задача № 1139

Выполните действия:

а) 3,78-(2,56-2,97);
б) -6,19 + (-1,5 + 5,19).

Ответ на задание и решение



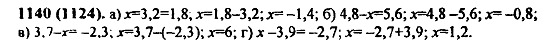
Задача № 1140

Решите уравнение:

а) х + 3,2 = 1,8;
в) 3,7 — х =—2,3;
б) 4,8 — х = 5,6;
г) х — 3,9 = — 2,7.

Ответ на задачку

Фото: 4877756.jpg (16.5 Kb) · 8855527.jpg (18.3 Kb) · 7696359.jpg (35.7 Kb) · 7586508.jpg (23.3 Kb) · 6578157.jpg (21.5 Kb)
 
 
KADETДата: Среда, 24.12.2014, 15:31 | Сообщение # 230
Генерал-майор
Группа: Проверенные
Сообщений: 337
Награды: 0
Репутация: 0
Статус: Offline


 
Работай из дома! 18+
 
 


Задача № 1141

Сосна выше ели на 1,2 м. Какова высота сосны и какова высота ели, если известно, что а)Сосна выше ели в 1,5 раза ) Ель в 1,6 раза ниже сосны

Ответ на задание



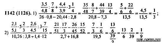
Задача № 1142

Найдите значение выражения:

Ответы на задание



Задача № 1143

Найдите значение произведения:

а) -24 • 36; д) -4,3 • 5,1; и) -1 • (-1);
б) —48 • ( —15); е) -2,7 • (-6,4); к) (-3)2;
в) 33 • (-11); ж) — 1 • ( — 3,84); л) (-2,5)2;
г) 1,6 • (-2,5); з) -7,2 • 0; м) (-0,2)3.

Ответ на задачу



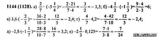
Задача № 1144

Выполните умножение:

Ответ на задание и решение



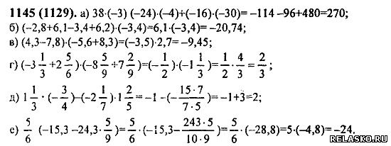
Задача № 1145

Найдите значение выражения:

Ответ на задачку

Фото: 4890265.jpg (71.3 Kb) · 0743181.jpg (41.2 Kb) · 9282141.jpg (36.0 Kb) · 8744242.jpg (34.8 Kb) · 7068687.jpg (51.1 Kb)
 
 
KADETДата: Среда, 24.12.2014, 15:34 | Сообщение # 231
Генерал-майор
Группа: Проверенные
Сообщений: 337
Награды: 0
Репутация: 0
Статус: Offline


 
Работай из дома! 18+
 
 


Задача № 1146

В среду привезли на 4,8 т больше сена, чем во вторник. Сколько тонн сена привезли за эти два дня, если во вторник привезли в 1,4 раза меньше, чем в среду?

Ответ на задание



Задача № 1147

Первое число 60. Второе число составляет 80% первого, а третье число составляет 50% суммы первого и второго. Найдите среднее арифметическое этих чисел.

Ответы на задание



Задача № 1148

Среднее арифметическое двух чисел равно 12,32. Одно из них составляет треть от другого. Найдите каждое число.

Ответ на задачу



Задача № 1149

Верно ли выполнено деление:

а) -36:2=-18; в) 2,7:(-1)=2,7;
б) 60:( —1,5)= —4; г) -7,5:(-5)=1,5?

Ответ на задание и решение



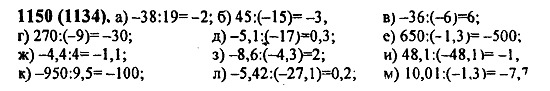
Задача № 1150

Найдите частное:

а) -38:19; д) — 6,1:(—17); и) 48,1 :(-48,1);
б) 45:( —15); е) 650:(-1,3); к) -950:9,5;
в) —36:( — 6); ж) -4,4:4; л) -5,42:(-27,1);
г) 270:( — 9); з) -8,6:( —4,3); м) 10,01:(-1,3).

Ответ на задачку

Фото: 1073459.jpg (40.1 Kb) · 7623045.jpg (24.3 Kb) · 7537400.jpg (38.4 Kb) · 5034290.jpg (17.6 Kb) · 5130251.jpg (32.1 Kb)
 
 
KADETДата: Среда, 24.12.2014, 15:41 | Сообщение # 232
Генерал-майор
Группа: Проверенные
Сообщений: 337
Награды: 0
Репутация: 0
Статус: Offline


 
Работай из дома! 18+
 
 


Задача № 1151

Выполните деление:

Частное, в которое входят отрицательные числа, читают так:

-54:(— 2,7) — частное минус пятидесяти четырех и минус двух целых семи десятых — минус пятьдесят четыре разделить на минус две целых семь десятых (— 6m):( — 3) — частное минус шести эм и минус трех
— минус шесть эм разделить на минус три Равенство, содержащее отрицательные числа, читают так:

Задание минус две седьмых икс равны минус четырем одиннадцатым

Ответ на задание



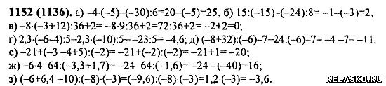
Задача № 1152

Выполните действия:

а) — 4•( — 6)—( — 30):6; д) (-8 + 32):(-6)-7;
б) 15:( —15)—( —24):8; е) -21+(-3-4 + 5):(-2);
в) -8(-3 + 12):36 + 2; ж) -6•4-64:(-3,3 + 1,7);
г) 2,3•(—6 —4):5; з) (-6+6,4-10):(-8)•(-3).

Ответы на задание



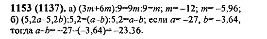
Задача № 1153

Найдите значение выражения:

а) (3m + 6m):9, если m= —12; —5,96;
б) (5,2а— 5,2b):5,2, если а=—27, b=— 3,64.

Ответ на задачу



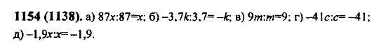
Задача № 1154

Чему равно частное:

а) 87x и 87;
г) —41с и с;
б) — 3,7k и 3,7;
д) —1,9x и х?
в) 9m и m

Ответ на задание и решение



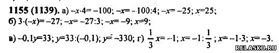
Задача № 1155

Решите уравнение и выполните проверку:

Ответ на задачку

Фото: 2811508.jpg (75.7 Kb) · 4635101.jpg (44.8 Kb) · 5452697.jpg (27.3 Kb) · 4738088.jpg (18.0 Kb) · 6595482.jpg (28.2 Kb)
 
 
KADETДата: Среда, 24.12.2014, 15:43 | Сообщение # 233
Генерал-майор
Группа: Проверенные
Сообщений: 337
Награды: 0
Репутация: 0
Статус: Offline


 
Работай из дома! 18+
 
 


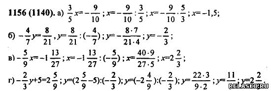
Задача № 1156

Решите уравнение:

Ответ на задание



Задача № 1157

Я задумал число, умножил его на 5, а затем из произведения вычел 2,7. В результате получил —21,7. Какое число я задумал?

Ответы на задание



Задача № 1158

Найдите значение выражения:

Ответ на задачу



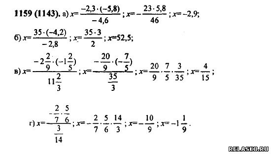
Задача № 1159

Найдите неизвестный член пропорции:

Ответ на задание и решение



Задача № 1160

Вычислите устно:

Ответ на задачку

Фото: 4813945.jpg (43.6 Kb) · 4381424.jpg (33.9 Kb) · 4842902.jpg (53.0 Kb) · 0155598.jpg (41.9 Kb) · 0303624.jpg (16.0 Kb)
 
 
KADETДата: Среда, 24.12.2014, 15:45 | Сообщение # 234
Генерал-майор
Группа: Проверенные
Сообщений: 337
Награды: 0
Репутация: 0
Статус: Offline


 
Работай из дома! 18+
 
 


Задача № 1161

При каких значениях множителей произведение ху равно нулю? не равно нулю?

Ответ на задание



Задача № 1162

В каких случаях может быть верно равенство:

а) х = х 2; б) х = х3 ; в) х2 = х3?

Ответы на задание



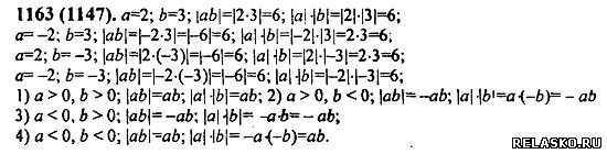
Задача № 1163

Проверьте на примерах справедливость равенства |аb| = |a| • |b|. Попробуйте доказать, что это равенство верно при любых значениях а и b.

Ответ на задачу



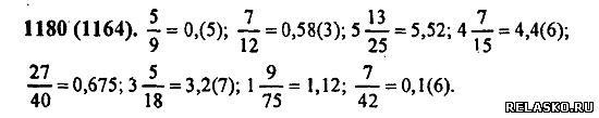
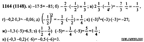
Задача № 1164

Вычислите:

Ответ на задание и решение



Задача № 1165

Представьте числа 9; 16 и 25 в виде произведения двух равных множителей. Сколькими способами можно это сделать?

Ответ на задачку

Фото: 9150042.jpg (15.9 Kb) · 7563687.jpg (17.9 Kb) · 2117668.jpg (45.0 Kb) · 4780114.jpg (37.2 Kb) · 1458010.jpg (16.6 Kb)
 
 
KADETДата: Среда, 24.12.2014, 15:49 | Сообщение # 235
Генерал-майор
Группа: Проверенные
Сообщений: 337
Награды: 0
Репутация: 0
Статус: Offline


 
Работай из дома! 18+
 
 


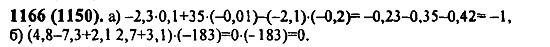
Задача № 1166

Найдите значение выражения:

а) - 2,3 • 0,1 + 35 • (- 0,01) - (- 2,1) • (- 0,2);
б) (4,8 — 7,3 + 2,1 — 2,7 + 3,1) • (—183).

Ответ на задание



Задача № 1167

На рисунке 90 показана карта мира с часовыми поясами. Определите с ее помощью: а) поясное время в Свердловске и во Владивостоке, если в Москве полночь; б) поясное время в Лондоне, Токио, Нью-Йорке и Дели, если в Москве 11 ч утра. Составьте сами и решите несколько задач на определение поясного времени.

Ответы на задание



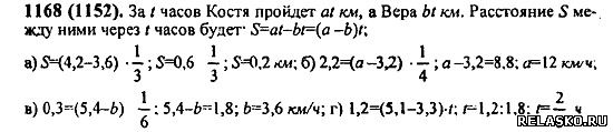
Задача № 1168

Костя и Вера вышли одновременно из одного и того же пункта в одном и том же направлении. Костя идет со скоростью а км/ч, а Вера — со скоростью b км/ч. Какое расстояние будет между ними через t ч? Составьте формулу для решения задачи, обозначив искомое расстояние (в километрах) буквой s и зная что a>b. Найдите по формуле:

Ответ на задачу



Задача № 1169

Решите предыдущую задачу, заменив в ней слова «в одном и том же направлении» на слова «в противоположных направлениях». Найдите по полученной формуле:

Ответ на задание и решение



Задача № 1170

При каких целых значениях х верно неравенство:

Ответ на задачку

Фото: 8039258.jpg (20.3 Kb) · 5725790.jpg (26.0 Kb) · 0988660.jpg (35.5 Kb) · 8473906.jpg (41.4 Kb) · 7013819.jpg (16.0 Kb)
 
 
KADETДата: Среда, 24.12.2014, 15:51 | Сообщение # 236
Генерал-майор
Группа: Проверенные
Сообщений: 337
Награды: 0
Репутация: 0
Статус: Offline


 
Работай из дома! 18+
 
 


Задача № 1171

Вычислите с помощью микрокалькулятора:

а) -3,82• 0,375-3,8275; б) 4,15• (-1,236)+3,0994.

Ответ на задание



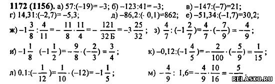
Задача № 1172

Выполните деление:

Ответы на задание



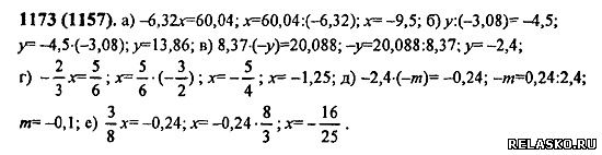
Задача № 1173

Решите уравнение:

Ответ на задачу



Задача № 1174

Найдите значение выражения:

Ответ на задание и решение



Задача № 1175

Из города одновременно в одном и том же направлении выехали два мотоциклиста. Скорость первого из них была больше скорости второго и составляла 72 км/ч. Через 25 мин расстояние между мотоциклистами было равно 5 км. Найдите скорость второго мотоциклиста.

Ответ на задачку

Фото: 0096567.jpg (22.6 Kb) · 2019636.jpg (49.0 Kb) · 3069759.jpg (37.3 Kb) · 9532043.jpg (42.8 Kb) · 4856708.jpg (39.0 Kb)
 
 
KADETДата: Среда, 24.12.2014, 15:57 | Сообщение # 237
Генерал-майор
Группа: Проверенные
Сообщений: 337
Награды: 0
Репутация: 0
Статус: Offline


 
Работай из дома! 18+
 
 


Задача № 1176

Найдите значение выражения

Ответ на задание



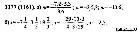
Задача № 1177

Решите уравнение

Ответы на задание



Задача № 1178


Ответ на задачу



Задача № 1179

Ответ на задание и решение



Задача № 1180

Ответ на задачку

Фото: 9520945.jpg (20.2 Kb) · 5172434.jpg (28.0 Kb) · 1117488.jpg (27.1 Kb) · 6188571.jpg (60.7 Kb) · 7790925.jpg (28.2 Kb)
 
 
KADETДата: Среда, 24.12.2014, 16:01 | Сообщение # 238
Генерал-майор
Группа: Проверенные
Сообщений: 337
Награды: 0
Репутация: 0
Статус: Offline


 
Работай из дома! 18+
 
 


Задача № 1181

Ответ на задание



Задача № 1182

Ответы на задание



Задача № 1183


Ответ на задачу



Задача № 1184

Ответ на задание и решение



Задача № 1185

Ответ на задачку

Фото: 3000851.jpg (23.0 Kb) · 0228335.jpg (16.4 Kb) · 0622272.jpg (22.6 Kb) · 9854202.jpg (17.9 Kb) · 9015143.jpg (18.1 Kb)
 
 
KADETДата: Среда, 24.12.2014, 16:03 | Сообщение # 239
Генерал-майор
Группа: Проверенные
Сообщений: 337
Награды: 0
Репутация: 0
Статус: Offline


 
Работай из дома! 18+
 
 


Задача № 1186

Ответ на задание



Задача № 1187

Ответы на задание



Задача № 1188


Ответ на задачу



Задача № 1189

Ответ на задание и решение



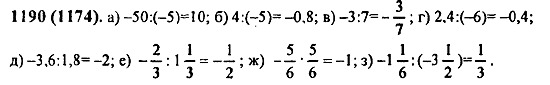
Задача № 1190

Ответ на задачку

Фото: 6914374.jpg (27.0 Kb) · 5466932.jpg (15.7 Kb) · 9102181.jpg (19.4 Kb) · 5449602.jpg (23.5 Kb) · 0297818.jpg (25.3 Kb)
 
 
KADETДата: Среда, 24.12.2014, 16:11 | Сообщение # 240
Генерал-майор
Группа: Проверенные
Сообщений: 337
Награды: 0
Репутация: 0
Статус: Offline


 
Работай из дома! 18+
 
 


Задача № 1191

Ответ на задание



Задача № 1192

Ответы на задание



Задача № 1193

Ответ на задачу



Задача № 1194

Ответ на задание и решение



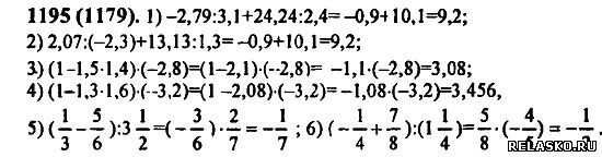
Задача № 1195

Ответ на задачку




Продолжение решебника по Математике ...
Фото: 8948832.jpg (20.4 Kb) · 7001748.jpg (17.9 Kb) · 5482752.jpg (18.1 Kb) · 1357185.jpg (20.0 Kb) · 5781909.jpg (45.3 Kb)


 
 
Поиск:

Работай из дома! 18+
 
 
 
 
 
 

 
Последние темы на форуме:
 
  • Новогодние праздники 2021-2022 официальные выходные
  • Показатели давления и сердцебиения у женщины 57 лет
  • Гороскоп на декабрь 2021 Женщина Телец
  • Гороскоп на январь 2022 от Павла Глоба
  • Гороскоп на декабрь 2021 от Павла Глоба
  • Гороскоп на ноябрь 2021 от Павла Глоба
  • Стенограмма судьбы - Содержание серий, актеры и роли сериала
  • Мосгаз. Западня - Содержание серий, актеры и роли 2021
  • Тобол - Содержание серий, актеры и роли сериала. 2021
  • Гороскоп для Тигра на сегодня от Павла Глоба
  • Утраченные воспоминания - Содержание серий, актеры и роли
  • Чёрно-белая любовь - Содержание серий, актеры и роли сериала
  • Забытая женщина - Содержание серий, актеры и роли сериала
  • Тайна спящей дамы - Содержание серий, актеры и роли сериала
  • Сериал Часы с кукушкой - Содержание серий, актеры и роли
  •  
     

     
    Обращаем ваше внимание на то, что данный интернет-сайт www.kinolog.do.am носит исключительно информационный характер и ни при каких условиях не является публичной офертой, определяемой положениями Статьи 437 (2) Гражданского кодекса РФ. Цена и наличие товара может отличаться от действительной. Пожалуйста, уточняйте цены и наличие товара у наших менеджеров.
    Администрация сайта не несет ответственности за действия и содержание размещаемой информации пользователей: комментарии, материалы, сообщения и темы на форуме, публикации, объявления и т.д.
    Правообладателям | Реклама | Учебники | Политика
    Отопление, водоснабжение, газоснабжение, канализация © 2003 - 2021
    Рейтинг@Mail.ru Рейтинг арматурных сайтов. ARMTORG.RU Яндекс.Метрика