[ Новые сообщения · Участники · Правила форума · Поиск · RSS ]
 
Работай из дома! 18+

ГДЗ по Математике. 5 класс
БрошкаДата: Среда, 24.12.2014, 17:40 | Сообщение # 136
Генерал-майор
Группа: Проверенные
Сообщений: 378
Награды: 0
Репутация: 0
Статус: Offline


 
Работай из дома! 18+
 
 




Задача № 676

Найдите по формуле пути значение времени t, если: а) s = 64 км, и = 8 км/с; б) s = 132 км, v = 12 км/ч.

Ответ на задание



Задача № 677

Запишите формулу для вычисления периметра прямоугольника, если буквами а и b обозначены длины сторон прямоугольника, а буквой Р его периметр. Вычислите по этой формуле: а) периметр Р прямоугольника, если его стороны а = 4 дм и b = 3 дм; б) сторону прямоугольника, если его периметр равен 30 см, а другая сторона — 7 см.

Ответы на задание



Задача № 678

Запишите формулу для вычисления периметра Р квадрата, сторона которого а. Вычислите по этой формуле: а) периметр квадрата со стороной 9 см; б) сторону квадрата, периметр которого 64 м.

Ответ на задачу



Задача № 679

Запишите в виде формулы правило нахождения делимого а по делителю b, неполному частному q и остатку r. По этой формуле найдите: а) делимое а, если неполное частное равно 15, делитель — 7 и остаток — 4; б) делитель b, если а = 257, q = 28, r = 5; в) неполное частное q, если а = 597, b = 12, r = 9.

Ответ на задание



Задача № 680

С одной станции в противоположных направлениях вышли два поезда в одно и то же время. Скорость одного поезда 50 км/ч, а скорость другого поезда 70 км/ч. Какое расстояние будет между ними через t часов после отправления в путь? Запишите ответ в виде формулы и упростите ее. Что означает число 120 в получившейся формуле?

Ответ на задачку

Фото: 7660415.jpg (20.1 Kb) · 9425970.jpg (21.7 Kb) · 2563768.jpg (24.4 Kb) · 8963248.jpg (32.7 Kb) · 7497278.jpg (29.1 Kb)
 
 
БрошкаДата: Среда, 24.12.2014, 17:45 | Сообщение # 137
Генерал-майор
Группа: Проверенные
Сообщений: 378
Награды: 0
Репутация: 0
Статус: Offline


 
Работай из дома! 18+
 
 


Задача № 681

Расстояние между двумя городами 600 км. Навстречу друг другу из этих городов вышли одновременно две автомашины. Одна имеет скорость 60 км/ч, а другая — 40 км/ч. Чему равно расстояние между машинами через t часов после выезда? Запишите ответ в виде формулы и упростите ее. Какой смысл имеет число 100 в получившейся формуле?

Ответ на задание



Задача № 682

Первая черепаха догоняет вторую. Скорость первой черепахи 130 см в минуту, а скорость второй — 97 см в минуту. Сейчас расстояние между ними 198 см. Чему будет равно расстояние между черепахами через t мин? Запишите ответ в виде формулы и упростите ее. Какой смысл имеет число 33 в этой формуле? Через сколько минут первая черепаха догонит вторую?

Ответы на задание



Задача № 683

Расстояние между селами Ивановка и Дятьково равно 90 км. Из Ивановки в Дятьково выехал велосипедист со скоростью 10 км/ч. Наишите формулу, выражающую расстояние s от велосипедиста до Дятьково через t часов после его выезда.

Ответ на задачу



Задача № 684

Вычислите устно:

Ответ на задание



Задача № 685

Восстановите цепочку вычислений:

Ответ на задачку

Фото: 9837811.jpg (24.5 Kb) · 5969001.jpg (30.0 Kb) · 3050219.jpg (21.1 Kb) · 2812638.jpg (24.8 Kb) · 6060797.jpg (27.4 Kb)
 
 
БрошкаДата: Среда, 24.12.2014, 17:49 | Сообщение # 138
Генерал-майор
Группа: Проверенные
Сообщений: 378
Награды: 0
Репутация: 0
Статус: Offline


 
Работай из дома! 18+
 
 


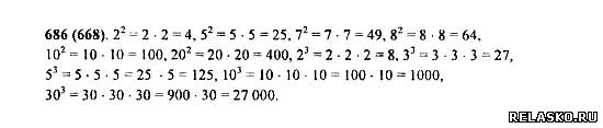
Задача № 686

Найдите квадраты чисел 2; 5; 7; 8; 10; 20. Найдите кубы чисел 2; 3; 5; 10; 30.

Ответ на задание



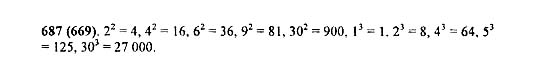
Задача № 687

Квадрат какого числа равен 4; 16; 36; 81; 900? Куб какого числа равен 1; 8; 64; 125; 27 000?

Ответы на задание



Задача № 688

Вычислите наиболее простым способом: а) 4 • 19 • 25; г) 50 • 75 • 2; б) 8 • 15 • 125; д) 16 • 47 • 125; в) 250 • 35 • 8; е) 40 • 8 • 25 • 125.

Ответ на задачу



Задача № 689

Изменится ли частное двух чисел, если: а) делимое увеличить в 2 раза; в 3 раза; б) делимое и делитель увеличить в одинаковое число раз? Приведите примеры.

Ответ на задание



Задача № 690

Расскажите, в каком порядке надо выполнять действия при нахождении значения выражения: а) 23 • 82- 15 • 33+ 1734 : 17; б) 5 • 113-4 • (76 + 132- 5).

Ответ на задачку

Фото: 4650450.jpg (28.1 Kb) · 6775181.jpg (19.9 Kb) · 5202990.jpg (29.3 Kb) · 4705180.jpg (23.8 Kb) · 7339848.jpg (26.0 Kb)
 
 
БрошкаДата: Среда, 24.12.2014, 17:52 | Сообщение # 139
Генерал-майор
Группа: Проверенные
Сообщений: 378
Награды: 0
Репутация: 0
Статус: Offline


 
Работай из дома! 18+
 
 


Задача № 691

Попробуйте найти число, квадрат которого оканчивается цифрой 0; 6; 5; 7.Какой цифрой может оканчиваться квадрат числа? куб числа?

Ответ на задание



Задача № 692

Машина двигалась 4 ч со скоростью а км/ч и 3 ч со скоростью b км/ч. Какой путь прошла машина за эти 7 часов? Составьте выражение для решения задачи и найдите его значение при: а = 40, b = 30; а = 30, b = 40; а = 60, b = 70.

Ответы на задание



Задача № 693

Найдите значение выражения: а) З2 + 42; в) (92 - 42) : (9 - 4); б) (42 + 1)2; г) (83 + 73) : (82 - 72).

Ответ на задачу



Задача № 694

Семье, состоящей из бабушки, папы, мамы, дочери и сына, подарили 5 разных чашек. Сколькими способами можно разделить чашки между членами семьи? Решение. У первого члена семьи (например, бабушки) есть 5 вариантов выбора, у следующего (пусть это будет папа) остается 4 варианта выбора, следующий (например, мама) будет выбирать уже из 3 чашек, следующий — из двух, последний же получает одну оставшуюся чашку. Покажем эти способы на схеме. Получили, что каждому выбору чашки бабушкой соответствует четыре возможных выбора папы, т. е. всего 5 • 4 способов. После того как папа выбрал чашку, у мамы есть три варианта выбора, у дочери — два, у сына — один, т. е. всего 3-2-1 способов. Окончательно получаем, что для решения задачи надо найти произведение 5 • 4 • 3 • 2 -1. Заметим, что получили произведение всех натуральных чисел от 1 до 5. Такие произведения записывают короче: 5 • 4 • 3 • 2 • 1 = 5! (читают: «пять факториал»). Итак, ответ задачи: 5! = 120, т. е. чашки между членами семьи можно распределить ста двадцатью способами.

Ответ на задание



Задача № 695

Толя начал читать книгу, когда Сережа прочитал уже 24 страницы такой же книги. Догонит ли Толя Сережу через 5 дней, если будет читать в день — 18 страниц, а Сережа — 12?

Ответ на задачку

Фото: 9918744.jpg (23.0 Kb) · 3505987.jpg (28.9 Kb) · 3894260.jpg (24.9 Kb) · 6602325.jpg (23.8 Kb) · 4939421.jpg (28.2 Kb)
 
 
БрошкаДата: Среда, 24.12.2014, 17:56 | Сообщение # 140
Генерал-майор
Группа: Проверенные
Сообщений: 378
Награды: 0
Репутация: 0
Статус: Offline


 
Работай из дома! 18+
 
 


Задача № 696

Начертите координатный луч. Отметьте на нем точки А(5), В(7), С(0) и 0(3). Чему равна длина (в единичных отрезках) отрезков АВ, CD, AD?

Ответ на задание



Задача № 697

Через точки Р и К проведите прямую и отметьте на ней точки С и D так, чтобы точка D лежала между Р и /С, а точка Р — между С и D.

Ответы на задание



Задача № 698

Докажите, что: а) 600 < 23 • 35 < 1200; б) 2400 < 47 • 62 < 3500.

Ответ на задачу



Задача № 699

Решите задачу:

1) Бронза содержит (по массе) 41 часть меди, 8 частей олова и 1 часть цинка. Какова масса куска бронзы, если в ней олова меньше, чем меди, на 132 г? 2) Дюралюминий — сплав, состоящий из 83 частей алюминия, 5 частей меди, 1 части марганца и 1 части магния (по массе). Какова масса куска дюралюминия, если в нем меди больше, чем магния, на 84 г?

Ответ на задание



Задача № 700

Массу М товара с упаковкой (ее называют массой брутто) определяют так: вычисляют массу товара (она называется массой нетто) и прибавляют к ней массу р упаковки. Запишите это правило в виде формулы, если масса одного изделия т и в упаковке n изделий. Найдите по этой формуле массу брутто ящика чая, в котором 50 пачек чая, по 100 г каждая, а масса ящика 1 кг.

Ответ на задачку

Фото: 0872572.jpg (20.2 Kb) · 9508915.jpg (17.8 Kb) · 6044256.jpg (18.9 Kb) · 8314944.jpg (58.9 Kb) · 2804871.jpg (25.6 Kb)
 
 
БрошкаДата: Четверг, 25.12.2014, 09:37 | Сообщение # 141
Генерал-майор
Группа: Проверенные
Сообщений: 378
Награды: 0
Репутация: 0
Статус: Offline


 
Работай из дома! 18+
 
 


Задача № 701

Найдите по формуле пути: а) значение s, если v = 12 км/ч, t — 3 ч; б) значение t, если s = 180 м, v = 15 м/с.

Ответ на задание



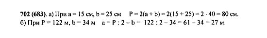
Задача № 702

Найдите по формуле для нахождения периметра прямоугольника: а) периметр Р, если а = 15 см, b = 25 см; б) сторону а, если Р = 122 м, b = 34 м.

Ответы на задание



Задача № 703

Периметр квадрата 144 м. Найдите его сторону.

Ответ на задачу



Задача № 704

Сплав состоит из 19 частей алюминия и 2 частей магния (по массе). Какова масса сплава, если в нем магния на 34 кг меньше, чем алюминия?

Ответ на задание



Задача № 705

Митя собрал в 3 раза больше грибов, чем Петя. Подсчитав все собранные грибы, они увидели, что набрали 48 подосиновиков и подберезовиков, а белых грибов — 8. Сколько грибов собрал каждый из мальчиков?

Ответ на задачку

Фото: 5818849.jpg (20.4 Kb) · 8216088.jpg (22.5 Kb) · 0347988.jpg (17.0 Kb) · 0523005.jpg (37.0 Kb) · 2649647.jpg (29.7 Kb)
 
 
БрошкаДата: Четверг, 25.12.2014, 09:42 | Сообщение # 142
Генерал-майор
Группа: Проверенные
Сообщений: 378
Награды: 0
Репутация: 0
Статус: Offline


 
Работай из дома! 18+
 
 


Задача № 706

Отец старше сына на 20 лет, а сын моложе отца в 5 раз. Сколько лет отцу и сколько лет сыну?

Ответ на задание



Задача № 707

Решите уравнение: а) (Зх + bх) • 18 = 144; б) (7у - Зу) : 8 = 17; в) (6а + а) : 13 = 14; г) 48 : (9b - b) = 2.

Ответы на задание



Задача № 708

Выполните действия: а) 183 340 : 89 • 104; б) 102 720 : 96 • 203.

Ответ на задачу



Задача № 709

Какие из флажков на рисунке 66 равны?

Ответ на задание



Задача № 710

Равны ли друг другу листы одной тетради? Почему?

Ответ на задачку

Фото: 4421010.jpg (21.9 Kb) · 8480203.jpg (29.9 Kb) · 4654952.jpg (20.4 Kb) · 3735554.jpg (18.2 Kb) · 9963930.jpg (20.8 Kb)
 
 
БрошкаДата: Четверг, 25.12.2014, 09:53 | Сообщение # 143
Генерал-майор
Группа: Проверенные
Сообщений: 378
Награды: 0
Репутация: 0
Статус: Offline


 
Работай из дома! 18+
 
 


Задача № 711

Равны ли выкройка и вырезанный по ней кусок материи?

Ответ на задание



Задача № 712

Найдите равные фигуры на рисунке 67. Сколько клеточек содержит каждая фигура на этом рисунке?

Ответы на задание



Задача № 713

Треугольники ABC и DEP равны. Чему равен периметр треугольника DEP, если АВ = 3 см, ВС = 4 см, СА = 5 см?

Ответ на задачу



Задача № 714

Какие из отрезков АВ, МР, CD, OK, EF равны, если АВ = 3 см, МР = 5 см, CD = 30 мм, ОК = 50 мм, EF = 84 см?

Ответ на задание



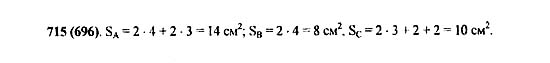
Задача № 715

Найдите площадь каждой фигуры, изображенной на рисунке 68, если условиться, что длина стороны каждой клетки равна 1 см.

Ответ на задачку

Фото: 2294484.jpg (18.9 Kb) · 4962053.jpg (23.4 Kb) · 7046981.jpg (16.6 Kb) · 3423619.jpg (21.2 Kb) · 0380228.jpg (19.0 Kb)
 
 
БрошкаДата: Четверг, 25.12.2014, 09:57 | Сообщение # 144
Генерал-майор
Группа: Проверенные
Сообщений: 378
Награды: 0
Репутация: 0
Статус: Offline


 
Работай из дома! 18+
 
 


Задача № 716

Найдите площадь прямоугольника, длина которого равна 5 см, а ширина — 2 см.

Ответ на задание



Задача № 717

Длина прямоугольника ABCD равна 28 см, а его ширина в 7 раз меньше. Чему равна площадь прямоугольника?

Ответы на задание



Задача № 718

Ширина прямоугольника KNMT равна 26 см, а его длина на 14 см больше. Чему равна площадь прямоугольника KNMT? Чему равна площадь каждого из треугольников, на которые разбивает отрезок КМ этот прямоугольник?

Ответ на задачу



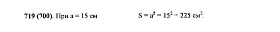
Задача № 719

Найдите площадь квадрата со стороной 15 см.

Ответ на задание



Задача № 720

Чему равна сторона квадрата, если его площадь 36 см2?

Ответ на задачку

Фото: 0569231.jpg (17.7 Kb) · 6884242.jpg (17.0 Kb) · 4510377.jpg (22.7 Kb) · 7344898.jpg (16.8 Kb) · 8390342.jpg (16.9 Kb)
 
 
БрошкаДата: Четверг, 25.12.2014, 10:00 | Сообщение # 145
Генерал-майор
Группа: Проверенные
Сообщений: 378
Награды: 0
Репутация: 0
Статус: Offline


 
Работай из дома! 18+
 
 


Задача № 721

Приведите примеры неравных фигур, имеющих равные площади.

Ответ на задание



Задача № 722

Два прямоугольника имеют равные площади. Длина первого прямоугольника 16 см, а его ширина на 12 см меньше длины. Длина второго прямоугольника 32 см. Найдите ширину второго прямоугольника. Чему равна сторона квадрата, имеющего такую же площадь, что и эти прямоугольники?

Ответы на задание



Задача № 723

Вычислите устно:

Ответ на задачу



Задача № 724

Восстановите цепочку вычислений:

Ответ на задание



Задача № 725

Вычислите: 3!; 6!; 7!.

Ответ на задачку

Фото: 8721399.jpg (27.5 Kb) · 5269536.jpg (20.5 Kb) · 4460330.jpg (24.8 Kb) · 1712338.jpg (27.7 Kb) · 4499474.jpg (17.9 Kb)
 
 
БрошкаДата: Четверг, 25.12.2014, 10:08 | Сообщение # 146
Генерал-майор
Группа: Проверенные
Сообщений: 378
Награды: 0
Репутация: 0
Статус: Offline


 
Работай из дома! 18+
 
 


Задача № 726

Составьте условие задачи по уравнению: а) 14t = 70; б) 5v = 60; в) 2(а + 8) = 40.

Ответ на задание

$IMAGE1$

Задача № 727

Можно ли указать число, которое не является корнем уравнения: а) х : х = 1; б) 0 : х = 0; в) m : 0 = 0; г) v • 1 = v?

Ответы на задание



Задача № 728

Как изменится произведение двух чисел, если второе число увелимть: на 1? на 2? в 2 раза? Приведите примеры.

Ответ на задачу



Задача № 729

Какой получится результат, если: а) наименьшее четырехзначное число умножить на 100; б) число, записанное единицей с пятью последующими нулями, разделить на 100?

Ответ на задание



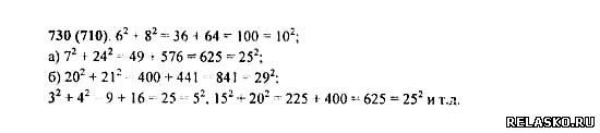
Задача № 730

Существуют такие тройки чисел a, b, с, что а2 + b2 = с2. Например, 52 + 82 = 102. (Проверьте!) Обладают ли таким свойством тройки чисел: а) 7, 24, 25; б) 20, 21, 29? Попробуйте найти еще такие тройки.

Ответ на задачку

Фото: 8724480.jpg (25.0 Kb) · 8032982.jpg (30.4 Kb) · 7619039.jpg (21.1 Kb) · 2162946.jpg (24.5 Kb)
 
 
БрошкаДата: Четверг, 25.12.2014, 10:10 | Сообщение # 147
Генерал-майор
Группа: Проверенные
Сообщений: 378
Награды: 0
Репутация: 0
Статус: Offline


 
Работай из дома! 18+
 
 


Задача № 731

Обозначим буквой х число деталей, которые изготовляет рабочий за 1 ч, а буквой у — число деталей, которые он изготовит за а ч. Напишите формулу, выражающую у через а и х.

Ответ на задание



Задача № 732

Обозначим буквой х цену 1 кг товара, а буквой у — стоимость а кг этого товара. Напишите формулу, выражающую у через а и х.

Ответы на задание



Задача № 733

В среду в пятом классе пять уроков: математика, физкультура, история, русский язык и природоведение. Сколько различных вариантов расписания на среду можно составить?

Ответ на задачу



Задача № 734

Решите задачу:

а) Велосипедист за час проезжает 15 км, а мотоциклист — в 3 раза больше. На сколько больше проедет мотоциклист, чем велосипедист, за 8 ч? б) На обычном станке рабочий делает 15 деталей за час, а на станке с ЧПУ (числовым программным управлением) — в 3 раза больше. На сколько больше деталей он сделает на станке с ЧПУ, чем на обычном станке, за 8 часов работы? в) Масса алюминиевой детали 15 г, а стальной — в 3 раза больше. На сколько масса 8 стальных деталей больше массы 8 алюминиевых? Сравните решения этих трех задач. Придумайте похожие на них задачи, но с другим содержанием.

Ответ на задание



Задача № 735

Решите задачу:

1) Расстояние между поселком и городом 144 км. Сколько времени затратил человек на дорогу туда и обратно, если в город он ехал на автобусе о скоростью 36 км/ч, а возвращался на автомобиле со скоростью 72 км/ч? 2) Расстояние между пристанями 378 км. Сколько времени потребуется теплоходу, чтобы проплыть туда и обратно, если его скорость по течению реки 27 км/ч, а против течения 21 км/ч?

Ответ на задачку

Фото: 5572858.jpg (15.4 Kb) · 0950300.jpg (14.8 Kb) · 2518737.jpg (18.2 Kb) · 7480029.jpg (33.6 Kb) · 3336479.jpg (24.0 Kb)
 
 
БрошкаДата: Четверг, 25.12.2014, 10:25 | Сообщение # 148
Генерал-майор
Группа: Проверенные
Сообщений: 378
Награды: 0
Репутация: 0
Статус: Offline


 
Работай из дома! 18+
 
 


Задача № 736

Выполните действия: 1) (6656 : 512 + 28) • (1524 : 127 - 7) - 150; 2) (4992 : 384 - 8) • (8496 : 236 + 15)+ 145.

Ответ на задание



Задача № 737

Длина прямоугольника 65 см, а его ширина в 5 раз меньше. Чему равна площадь прямоугольника?

Ответы на задание



Задача № 738

Площадь прямоугольника 136 см2. Чему равна его длина, если его ширина 8 см?

Ответ на задачу



Задача № 739

Начертите прямоугольник ABCD, соедините отрезком вершины А и С. Найдите площади треугольников ABC и ACD, если АВ = 6 см и ВС = 5 см.

Ответ на задание



Задача № 740

Постройте квадрат ABCD со стороной 4 см и проведите в нем отрезки АС и BD. Чему равна площадь каждого из четырех получившихся треугольников? Сложите из двух таких треугольников новый квадрат. Чему равна его площадь?

Ответ на задачку

Фото: 8589958.jpg (26.2 Kb) · 4769205.jpg (18.5 Kb) · 3187388.jpg (17.4 Kb) · 1540456.jpg (24.8 Kb) · 2531440.jpg (28.2 Kb)
 
 
БрошкаДата: Четверг, 25.12.2014, 10:28 | Сообщение # 149
Генерал-майор
Группа: Проверенные
Сообщений: 378
Награды: 0
Репутация: 0
Статус: Offline


 
Работай из дома! 18+
 
 


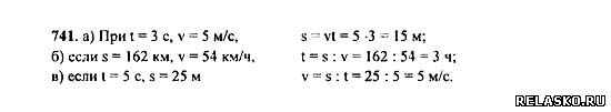
Задача № 741

Используя формулу пути s = vt найдите: а) путь, который пролетит муха за 3 с, если ее скорость 5 м/с; б) время, за которое ласточка пролетит 162 км, если ее скорость 54 км/ч; в) скорость собаки, которая за 5 с пробежала 25 м.

Ответ на задание



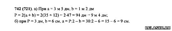
Задача № 742

Используя формулу периметра прямоугольника Р = 2(а + b), найдите: а) периметр Р, если а = 3м5 дм, b = 1 м 2 дм; б) сторону а, если Р = 3 дм, b = 6 см.

Ответы на задание



Задача № 743

В 15 ч со станции вышел электропоезд со скоростью 80 км/ч, а через 1 ч с той же станции вслед за ним вышел второй электропоезд со скоростью 75 км/ч. Какое расстояние будет между ними в 18 ч того же дня?

Ответ на задачу

$IMAGE3$

Задача № 744

Выразите: а) в метрах: 5 км; 5 км 30 м; 200 дм; 30 000 см; б) в дециметрах: 3 м; 7 м 9 дм; 500 см; 7000 м.

Ответ на задание



Задача № 745

Выполните действия: (38 • 216 : 57 + 3780 : 108 - 10) : 13.

Ответ на задачку

Фото: 8943366.jpg (22.4 Kb) · 1982556.jpg (24.1 Kb) · 2014223.jpg (23.3 Kb) · 3663731.jpg (20.1 Kb)
 
 
БрошкаДата: Четверг, 25.12.2014, 10:32 | Сообщение # 150
Генерал-майор
Группа: Проверенные
Сообщений: 378
Награды: 0
Репутация: 0
Статус: Offline


 
Работай из дома! 18+
 
 


Задача № 746

На рисунке 69, а изображены три фигуры, а на рисунке 69, показан их вид сверху. Верно ли выполнен второй рисунок? Если неверно, то скажите, что надо в нем изменить.

Ответ на задание



Задача № 747

Найдите площади фигур на рисунке 70, если площадь каждой клетки равна 25 мм2.

Ответы на задание



Задача № 748

Найдите площадь квадрата со стороной 15 дм.

Ответ на задачу



Задача № 749

Найдите площадь прямоугольника, если его длина равна 4 м 12 см, а ширина в 4 раза меньше.

Ответ на задание



Задача № 750

Найдите площадь прямоугольника, если его ширина 4 км 300 м, а длина в 5 раз больше.

Ответ на задачку



Продолжение решебника по Математике для 5-го класса
Фото: 6941248.jpg (23.1 Kb) · 8139855.jpg (18.5 Kb) · 2581600.jpg (18.5 Kb) · 7009732.jpg (20.9 Kb) · 3030388.jpg (21.7 Kb)
 
 
Поиск:

Работай из дома! 18+
 
 
 
 
 
 

 
Последние темы на форуме:
 
  • Новогодние праздники 2021-2022 официальные выходные
  • Показатели давления и сердцебиения у женщины 57 лет
  • Гороскоп на декабрь 2021 Женщина Телец
  • Гороскоп на январь 2022 от Павла Глоба
  • Гороскоп на декабрь 2021 от Павла Глоба
  • Гороскоп на ноябрь 2021 от Павла Глоба
  • Стенограмма судьбы - Содержание серий, актеры и роли сериала
  • Мосгаз. Западня - Содержание серий, актеры и роли 2021
  • Тобол - Содержание серий, актеры и роли сериала. 2021
  • Гороскоп для Тигра на сегодня от Павла Глоба
  • Утраченные воспоминания - Содержание серий, актеры и роли
  • Чёрно-белая любовь - Содержание серий, актеры и роли сериала
  • Забытая женщина - Содержание серий, актеры и роли сериала
  • Тайна спящей дамы - Содержание серий, актеры и роли сериала
  • Сериал Часы с кукушкой - Содержание серий, актеры и роли
  •  
     

     
    Обращаем ваше внимание на то, что данный интернет-сайт www.kinolog.do.am носит исключительно информационный характер и ни при каких условиях не является публичной офертой, определяемой положениями Статьи 437 (2) Гражданского кодекса РФ. Цена и наличие товара может отличаться от действительной. Пожалуйста, уточняйте цены и наличие товара у наших менеджеров.
    Администрация сайта не несет ответственности за действия и содержание размещаемой информации пользователей: комментарии, материалы, сообщения и темы на форуме, публикации, объявления и т.д.
    Правообладателям | Реклама | Учебники | Политика
    Отопление, водоснабжение, газоснабжение, канализация © 2003 - 2021
    Рейтинг@Mail.ru Рейтинг арматурных сайтов. ARMTORG.RU Яндекс.Метрика